반응형

발광팔지의 원리이다.

위의 반응은 다이페닐 옥살레이트의 화학적 발광 과정이며, 이 반응에서 다이페닐 옥살레이트가 산화제인 과산화수소와 반응하면1,2-dioxetanedione을 형성하고, 페놀 2개를 방출한다. 그런 다음 1,2-dioxetanedione는 염료(dye) 분자와 반응하여 분해되어 빠르게 이산화탄소를 형성하고, 염료를 흥분된 상태로 만듭니다. 염료 분자가 들뜬상태에서 바닥상태로 돌아올 때 가시광선의 빛을 방출한다. 1,2-dioxetanedione는 염료 분자가 없다면 빛 대신 열만 낸다.

위의 반응은 기본구조인 oxalate diesters와 과산화수소가 반응하여 과산화옥살레이트(peroxyoxalate)를 형성하는 과정이다.

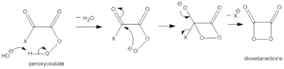
위의 반응은 과산화옥살레이트가 고에너지 중간체인 1,2-dioxetanedione로 바뀌는 과정이다. 이 dioxetanedione가 화학적 발광 반응의 고에너지 중간체로써, 이산화탄소 2분자로 자발적으로 분해될때, 형광 색소에 에너지를 주어 자극시키고, 이 색소를 발광 시킨다.
| 색 | 화합물 |
| Green | 9,10-Diphenylanthracene |
| Blue | 9,10-Bis(phenylethynyl)anthracene |
| Yellow-green | Tetracene |
| Yellow | 1-Chloro-9,10-bis(phenylethyny|)anthracene |
| Orange | 5,12-Bis(phenylethynyl)naphthacene, Rubrene, Rhodamine 6G |
| Red | Rhodamine B |
위의 표는 형광 염료분자로 사용될 수 있는 유기화합물로써, 화학발광의 감광물질(색소)이다. 이 분자들은 OLED, Quantam Dot 등의 목적으로 사용되는 유기염료 분자들이다.
반응형
'교과 주제 > 과학' 카테고리의 다른 글
| 터치스크린의 구조 및 원리 (3) | 2022.10.01 |
|---|---|
| 반도체 식각 공정에서의 완충된 불화수소 (0) | 2022.10.01 |
| 반도체 탐구 (반도체 공정 및 원리) (0) | 2022.10.01 |
| 주파수 변조기술(FM, AM, Bluetooth 원리) (1) | 2022.10.01 |
| 바이오 연료 (0) | 2022.10.01 |